Skip to content Skip to sidebar Skip to footer

Widget HTML #1

How To Find Eigenvectors Of A 2X2 Matrix : So clearly from the top row of the equations we get

How To Find Eigenvectors Of A 2X2 Matrix : So clearly from the top row of the equations we get. Computing the eigenvalues comes down to finding the roots of λ 2 − (a + d) λ + (a d − b c) = 0. The eigenvector needs to satisfy the following equation: So if the eigenvalues are λ 1 and λ 2, then assume c ≠ 0 and then the claim is that the eigenvectors are v i = (λ i − d, c). Find eigenvalues and eigenvectors of a 2x2 matrix. To find eigenvalues, we use the formula:

The eigenvector needs to satisfy the following equation: Cx+ dy = λy c x + d y = λ y. I'm able to get that far. Then the characteristic equation is. A→v = λ→v a v → = λ v →.

Linear Algebra Ch 3 Eigenvalues And Eigenvectors 11 Of 35 Basis For A 2x2 Matrix Youtube
Linear Algebra Ch 3 Eigenvalues And Eigenvectors 11 Of 35 Basis For A 2x2 Matrix Youtube from i.ytimg.com
Find eigenvalues and eigenvectors of a 2x2 matrix. Set this to zero and solve for λ. For a 2x2 matrix, your eigenvector should be 1x2 matrix that. We work through two methods of finding the characteristic equation for λ, then use this to find two eigenvalues. Then the characteristic equation is. It is formally known as the eigenvector equation. Cx+ dy = λy c x + d y = λ y. We use ax=λx to calculate two eigenvectors,.

To find the eigenvalues you have to find a characteristic polynomial p which you then have to set equal to zero.

Computing the eigenvalues comes down to finding the roots of λ 2 − (a + d) λ + (a d − b c) = 0. For a 2x2 matrix, your eigenvector should be 1x2 matrix that. What are the eigenvalues of a matrix? We work through two methods of finding the characteristic equation for λ, then use this to find two eigenvalues. All that's left is to find the two eigenvectors. I'm able to get that far. The eigenvector needs to satisfy the following equation: So if the eigenvalues are λ 1 and λ 2, then assume c ≠ 0 and then the claim is that the eigenvectors are v i = (λ i − d, c). In this video, we are going to find eigenvectors and eigenvalues of a given matrix a 2x2.if y. Then the characteristic equation is. Ax+ by = λx a x + b y = λ x. However, once i attempt to calculate the eigenvectors i don't get a value for an eigenvector. We compute det(a−λi) = −1−λ 2 0 −1−λ = (λ+1)2.

Then the characteristic equation is. Where a = (a b d c) a = ( a b d c) and →v = (x y) v → = ( x y) (a b d c)(x y) = λ(x y) ( a b d c) ( x y) = λ ( x y), which can be written in components as. We work through two methods of finding the characteristic equation for λ, then use this to find two eigenvalues. To find eigenvalues, we use the formula: Example of finding eigenvectors and eigenvalues for 2x2 matrix!

1
1 from
Computing the eigenvalues comes down to finding the roots of λ 2 − (a + d) λ + (a d − b c) = 0. Find eigenvalues and eigenvectors of a 2x2 matrix. To find the eigenvalues you have to find a characteristic polynomial p which you then have to set equal to zero. Where a = (a b d c) a = ( a b d c) and →v = (x y) v → = ( x y) (a b d c)(x y) = λ(x y) ( a b d c) ( x y) = λ ( x y), which can be written in components as. We use ax=λx to calculate two eigenvectors,. Set this to zero and solve for λ. The eigenvector needs to satisfy the following equation: Then the characteristic equation is.

To find eigenvalues, we use the formula:

I'm able to get that far. A→v = λ→v a v → = λ v →. However, once i attempt to calculate the eigenvectors i don't get a value for an eigenvector. We use ax=λx to calculate two eigenvectors,. May 25, 2016 · computation of eigenvalues. Where a = (a b d c) a = ( a b d c) and →v = (x y) v → = ( x y) (a b d c)(x y) = λ(x y) ( a b d c) ( x y) = λ ( x y), which can be written in components as. Find eigenvalues and eigenvectors of a 2x2 matrix. Example of finding eigenvectors and eigenvalues for 2x2 matrix! Who discovered eigenvalues of a matrix? Set this to zero and solve for λ. It is formally known as the eigenvector equation. To find eigenvalues, we use the formula: We work through two methods of finding the characteristic equation for λ, then use this to find two eigenvalues.

I'm able to get that far. Suppose that there are two eigenvalues λ1 = 0 and λ2 = 1 of any 2×2 matrix. Eigenvectors associated with λ 2 = −2 are in the span of these two; That part you know already. Where a = (a b d c) a = ( a b d c) and →v = (x y) v → = ( x y) (a b d c)(x y) = λ(x y) ( a b d c) ( x y) = λ ( x y), which can be written in components as.

Eigenvalues And Eigenvectors
Eigenvalues And Eigenvectors from spiff.rit.edu
To find the eigenvalues you have to find a characteristic polynomial p which you then have to set equal to zero. Suppose that there are two eigenvalues λ1 = 0 and λ2 = 1 of any 2×2 matrix. All that's left is to find the two eigenvectors. How to determine the eigenvectors of a matrix? Computing the eigenvalues comes down to finding the roots of λ 2 − (a + d) λ + (a d − b c) = 0. For a 2x2 matrix, your eigenvector should be 1x2 matrix that. Eigenvectors associated with λ 2 = −2 are in the span of these two; We compute det(a−λi) = −1−λ 2 0 −1−λ = (λ+1)2.

So clearly from the top row of the equations we get

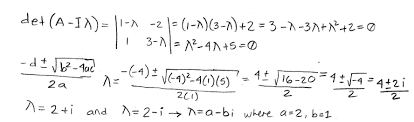
Find the eigenvalues and associated eigenvectors of the matrix a = −1 2 0 −1. And the two eigenvalues are. To find the eigenvalues you have to find a characteristic polynomial p which you then have to set equal to zero. May 25, 2016 · computation of eigenvalues. Set this to zero and solve for λ. For a 2x2 matrix, your eigenvector should be 1x2 matrix that. What are the eigenvalues of a matrix? What is the mean of eigenvector of a square matrix? In place of λ, we put each eigenvalue one by one and get the eigenvector equation which enables us to solve for eigenvector belonging to each eigenvalue. How to determine the eigenvectors of a matrix? In this video, we are going to find eigenvectors and eigenvalues of a given matrix a 2x2.if y. Find eigenvalues and eigenvectors of a 2x2 matrix. That is, all others can be written as linear combinations c 1u 1 +c 2u 2 using an appropriate choices of the constants c 1 and c 2.

To find eigenvalues, we use the formula: how to find eigenvectors. Suppose that there are two eigenvalues λ1 = 0 and λ2 = 1 of any 2×2 matrix.